EL precandidato a Jefe de Gobierno en CABA busca poner sus «papeles» en orden.
Por Guillermo Carlos Delgado Jordan para Noticias La Insuperable

Corría el año 2017 y el por entonces Intendente de Vicente López, Jorge Macri, y primo de Mauricio, recibía un millonario embargo por una investigación judicial que se centraba en el irregular origen de los fondos que usó para comprar un inmueble en Miami a través de una sociedad Offshore.
El 18 de julio de 2012 la AFIP denunció que la sociedad offshore, “Icon Unit 1704 LLC” de Jorge Macri y su entonces esposa, Florencia De Nardi, adquirió un departamento en Miami en 485 Brickell Avenue 174 por 365.000 dólares. La causa se basaba en una denuncia de la Procelac, la cual recayó en el juzgado de la Jueza Arroyo Salgado. A pedido del fiscal Di Lello, el 14 de septiembre de 2017, la jueza trabó un embargo preventivo de ocho millones de pesos, tanto para Jorge Macri como para su ex. Pero, como siempre sucede cuando la Justicia apunta para el lado de los poderosos, pronto el Poder Judicial salió en su auxilio y la Cámara Federal de San Martín revocó el embargo. Luego de eso, todo se cajoneó y quedó en la nada.
Icon Unit 1704 LLC fue constituída por Jorge Macri el 17 de marzo de 2011. Su por entonces esposa, Florencia de Nardi, se incorporará a la sociedad poco después. Luego, el 7 de mayo de 2012, Icon Unit 1704 LLC paso a llamarse Artecity N204 LLC. Para esta fecha, Jorge Macri ya era Intendente de Vicente López.

El cambio de nombre obedecía a que Jorge Macri vendió el departamento de 365.000 dólares y adquirió uno más lujoso y grande, la Unidad 204 del Condomino Artepark North.
Se trataba de un lujoso departamento construido en el 2011, de dos dormitorios y dos baños distribuidos en 100 m².

Para 2013, el entonces Intendente de Vicente López decide comprar una tercera propiedad en Miami, para lo cual solicitó un préstamo ante Mortgage Bankers Holding Corp. Inc. por U$S 396.000 el cual firman el mismo Macri y su ahora exesposa, y que aquí te mostramos en exclusiva.

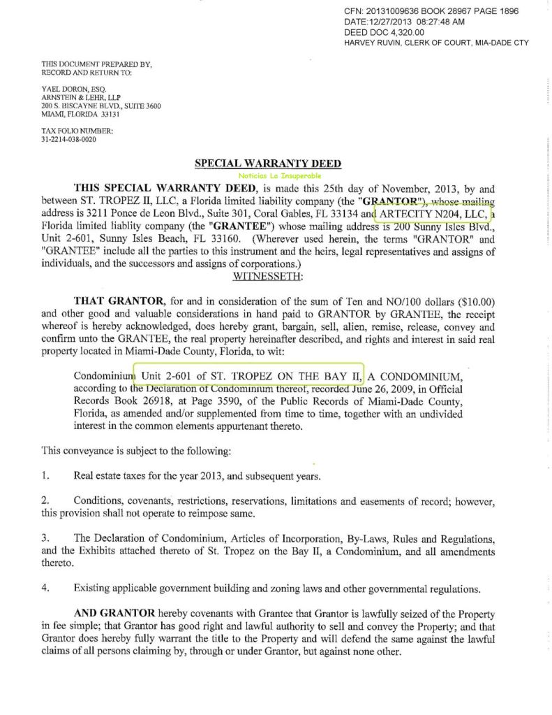
Tres días después de la soliciud de préstamo ante la Mortgage Bankers Holding Corp. Inc. , el 25 de noviembre de 2013, Artecity N204 LLC rubrica una Escritura de Garantía Especial con St. Tropez II, LLC. En la misma se manifiesta la adquisición por parte de Artecity (o sea, de Jorge Macri) de la unidad 2-601 del condominio St. Tropez on the Bay II.
La misma no solo cuenta con la firma de Jorge Macri, sino que lo secunda el contador Claudio Panichelli, Gerente de Unilar S.A. (empresa de Jorge Macri) y exSíndico del BAPRO que presidía el exIntendente y Hermenegildo Santilli, hombre de confianza y chofer de Macri.


Esta nueva propiedad de Jorge Macri será un departamento del año 2009, que cuenta con 3 dormitorios y 2 baños en Sunny Isles Beach.

El salvavidas de Infobae
Cuando las ojotas le aprietan a la gente del PRO los primeros que suelen salir a «bancarlos» suelen ser los medios de comunicación. Y esta vez no fue la excepción. En enero de 2019, desde el portal Infobae se publicó un artículo titulado “Exclusivo: el patrimonio de los 19 intendentes que aceptaron mostrar sus bienes”, en el cual se detallaba el patrimonio de 19 jefes de gobierno municipales, entre ellos, el de Jorge Macri, por entonces en Vicente López.
En este artículo se indica que “El primo de Mauricio Macri tiene una causa abierta en la Justicia Federal de San Isidro por presunto lavado de dinero por la compra de un departamento en Miami en 2011”. Allí, allegados y un “vocero” de los cuales no se da nombre, indican que la causa «fue armada en su momento por el gobierno kirchnerista porque era el único intendente del PRO en la Provincia«. Y explican que la propiedad «siempre estuvo declarada a nombre de la empresa» de la que Macri es dueño en el exterior, la llamada Artecity N2014 LLC.
«El cambio de nombre de la sociedad -dice su vocero- se hizo para que coincida con el nombre del departamento, pero siempre es la misma, como lo demuestra el hecho de que tienen el mismo número fiscal, llamando EIN number en los Estados Unidos. El primer departamento lo compró con un crédito hipotecario y las sucesivas compras posteriores se realizaron vendiendo la propiedad anterior, cancelando la hipoteca y tomando un nuevo crédito. Nunca tuvo simultáneamente dos departamentos«.
A continuación, el artículo especifica que el último departamento adquirido por Artecity en noviembre de 2013 es la Unidad 2-601 en St Tropez On the Bay II, valuado en 720.000 dólares y para el que sacó una hipoteca en esa moneda por 396.000 (del que hicimos mención y mostramos -en exclusiva- más arriba).
Por último, la nota de Infobae afirma que “El departamento no figura en la DDJJ, sí la sociedad. «Su valor declarado es cero porque el departamento tiene un pasivo, por la hipoteca contraída y los gastos, que no se llegan a cubrir con los alquileres«, explicó el portavoz del intendente de Vicente López”.
O sea, a principios de este año de 2019, Jorge Macri declara un valor de “cero” (y no paga nada, por supuesto) para un departamento de más de setecientos mil dólares porque el mismo se “encontraba hipotecado”.
Pero esto es mentira.
Como puede apreciarse en la documentación que presentamos a continuación en exclusiva, la deuda de la hipoteca fue saldada en su totalidad a fines de 2018 por ARTECITY N204 LLC.


Y para que no queden dudas de a quien pertenece ARTECITY, el mismo Jorge Macri firma en Miami en noviembre de 2018 la documentación que lo vincula a dicha empresa como “Manager”.


Disolución
Ahora, Jorge Macri se desprendió de sus bienes en Miami vinculados a esta sociedad. Por lo menos eso declara ante el Estado de Florida. A través de un representante, Robert R. Adams, presentó su disolución voluntaria en el Condado aduciendo haber vendido sus únicos activos.

La nota, a la que accedió en exclusiva Noticias La Insuperable, fue presentada el 28 de diciembre pasado. Según la información del mercado inmobiliario obtenida, la Unidad 2-601 en St Tropez On the Bay II de Jorge Macri se vendió el 15 de octubre de 2021 en 605.000 dólares.
Descubre más desde Noticias La Insuperable
Suscríbete y recibe las últimas entradas en tu correo electrónico.
