Por Guillermo Carlos Delgado Jordan
La Justicia investiga a Jorge Macri, primo del Presidente, por el irregular origen de los fondos que usó para comprar un inmueble en Miami a través de una sociedad Offshore. Pero como presentamos a continuación en exclusiva, el actual Intendente de Vicente López adquirió con la misma firma y de manera irregular dos departamentos más por una cifra superior a 1.200.000 dólares los cuales no declaró.
Antecedentes
Todo se originó en 2011 cuando salió a la luz que el entonces diputado provincial del PRO y primo hermano del entonces Jefe de Gobierno Mauricio Macri había adquirido un departamento construido en el año 2009 y que forma parte de un lujoso condominio, tiene dos habitaciones con baños, uno de ellos con jacuzzi y un extenso living comedor con una cocina integrada, sito en el centro de la ciudad en la que están instaladas empresas financieras como Barclays y hoteles de 5 estrellas de la talla del Four Seasons. El departamento en cuestión, valuado en u$s 400.000, está ubicado en 485 Brickell Avenue 174 de Miami, Florida y fue adquirido a través de la firma Offshore Icon Unit 1704 LLC el 11 de abril de 2011. La Offshore había sido constituida por Jorge Macri poco menos un mes antes de la operación, el 17 de marzo de 2011 como puede verse en el sello de la Secretaría de Estado de Florida.
A fines de ese año Jorge Macri es electo como Intendente de Vicente López. En julio de 2012 la AFIP denunció que el primo del actual Presidente adquirió un departamento en Miami en la calle 485 Brickell Avenue 174 por u$s 365.000,00 dólares. Pero, recién en el año 2016 la causa se elevó a la justicia. La Procuraduría de Criminalidad Económica y Lavado de Activos (Procelac), realizó la denuncia por presunto Lavado de Dinero y la causa recayó en el juzgado de Sandra Arroyo Salgado.
Hace pocas semanas, y a instancias del Fiscal Jorge Di Lello, la Jueza trabó un embargo al Intendente de Vicente López, Vicepresidente del PRO, Presidente del Banco Provincia y primo carnal del Presidente, Jorge Macri, por 8 millones de pesos a raíz del incierto origen de los fondos utilizados por éste para la compra del inmueble en cuestión. Pero, expeditivamente, el pasado 27 de octubre, la Cámara Federal de San Martín revocó ayer el embargo que había sido ordenado sobre los bienes del intendente de Vicente López, Jorge Macri, primo del presidente de la Nación. El argumento central esgrimido por los camaristas fue que la causa todavía está en un estado «embrionario» y que con las pruebas reunidas hasta hoy no hay fundamentos suficientes para sostener la «verosimilitud» del hecho denunciado.
La offshore cambia de nombre
Icon Unit 1704 LLC fue constituída por Jorge Macri el 17 de marzo de 2011. Su por entonces esposa, Florencia de Nardi, se incorporará a la sociedad poco después.
Luego, como tantas veces sucede con este tipo de Empresas offshore, con la supuesta idea de obstaculizar investigaciones y tapar rastros, Jorge Macri decidió cambiar el nombre de la sociedad. Por eso, como vemos en el documento que presentamos a continuación, el 7 de mayo de 2012, Icon Unit 1704 LLC paso a llamarse Artecity N204 LLC. Para esta fecha, Jorge Macri ya era Intendente de Vicente López.
Pero para que no quede ninguna duda de que no solo la compañía es la misma, sino que, además, Jorge Macri seguía estando en ella, presentamos a continuación un documento de Artecity N204 que data de noviembre de 2013 por una solicitud de préstamo ante Mortgage Bankers Holding Corp. Inc. por U$S 396.000 el cual firman el mismo Macri y su esposa.
El segundo departamento
En octubre de 2013, Artecity N204 LLCrubrica una Escritura de Garantía Especial manifestando la adquisición de otra propiedad en Florida, la Unidad 204 del Condomino Artepark North.
Se trata, en esta ocasión, de un lujoso departamento construido en el 2011, de dos dormitorios y dos baños distribuidos en 100 m².
La propiedad fue adquirida por la Offshore del primo del presidente en u$s 720.000 y, desde agosto de este año se encuentra a la venta a un precio de mercado de u$s 740.000.-
El tercer departamento
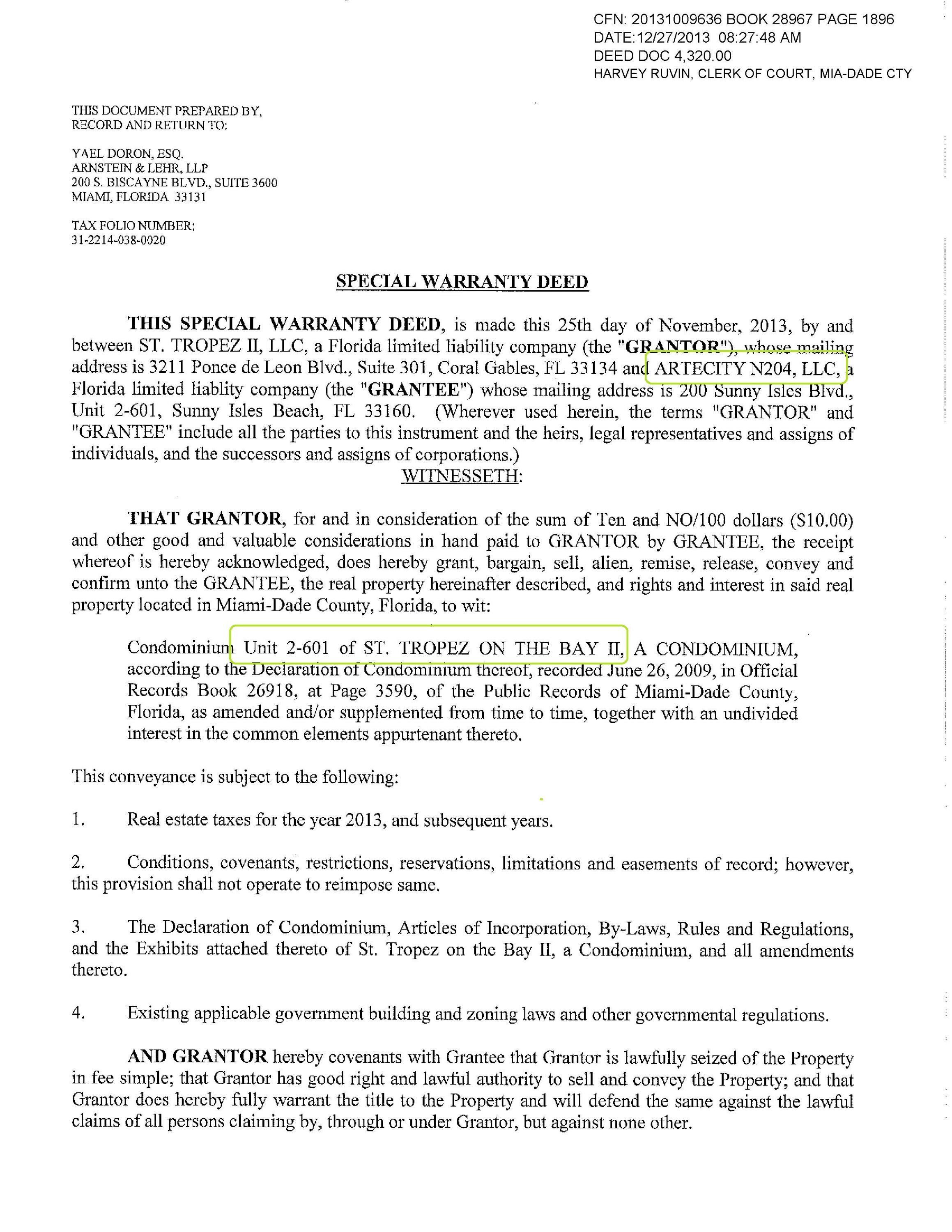
Pero las compras Offshore del primo del presidente no terminaron ahí. Tres días después de la soliciud de préstamo ante la Mortgage Bankers Holding Corp. Inc. , el 25 de noviembre de 2013, Artecity N204 LLCrubrica una Escritura de Garantía Especial con St. Tropez II, LLC. En la misma se manifiesta la adquisición por parte de Artecity (o sea, de Jorge Macri) de la unidad 2-601 del condominio St. Tropez on the Bay II.
El mismo no solo cuenta con la firma de Jorge Macri, sino que lo secunda el contador Claudio Panichelli, Gerente de Unilar S.A. (empresa de Jorge Macri) y Síndico del BAPRO que preside el Intendente y Hermenegildo Santilli, hombre de confianza y chofer de Macri.
Esta nueva propiedad de Macri, será un departamento del año 2009, que cuenta con 3 dormitorios y 2 baños en Sunny Isles Beach, valuado en más de medio millón de dólares.
Casualmente, y desde que comenzaron los problemas de denuncias el año pasado, el departamento también fue puesto a la venta y, como puede apreciarse claramente en el anuncio, el propietario del mismo es Artecity N204 LLC, o sea, Jorge Macri.
A la Justicia
Artecity N204 LLC, la Offshore de Jorge Macri y Florencia de Nardi continúa siendo una empresa activa. Prueba irrefutable de ello es el documento que presentamos a continuación donde consta la presentación de la DDJJ anual de la compañía, presentada el 7 de abril de este año, donde ambos socios figuran como titulares.
Seguramente, será tarea del fiscal Di Lello sumar a la causa la investigación de la procedencia de los fondos utilizados para la adquisición de estos 2 nuevos departamentos e incorporarlos a la causa de Lavado de Dinero que enfrenta el Intendente de Vicente López y primo hermano del Presidente, Jorge Macri.
Descubre más desde Noticias La Insuperable
Suscríbete y recibe las últimas entradas en tu correo electrónico.











4 Comentarios